To the Editor,
Immunoglobulin light chain (AL) amyloidosis is a rare and life-threatening multisystem disorder caused by the deposition of misfolded immunoglobulin light chains produced by clonal plasma cells [1]. High-dose melphalan followed by autologous stem cell transplantation (ASCT) is a highly effective therapy, offering long-term survival, particularly for those achieving complete remission [2, 3]. However, only about 10–20% of newly diagnosed patients are considered eligible for ASCT, and its utilization rate varies across different countries [1, 4]. In China, ASCT is not widely used in patients with AL amyloidosis, with a lack of longitudinal data systematically characterizing the treatment. To evaluate clinical outcome and trends in ASCT, including patient selection, induction regimens, depth of response, and survival outcomes, we performed a retrospective analysis of all patients who underwent first-time ASCT for AL amyloidosis at our center from January 2010 to July 2024.
This single-center, retrospective study enrolled consecutive patients diagnosed with AL amyloidosis who underwent ASCT in the National Clinical Research Center for Kidney Disease, Jinling Hospital from January 2010 to July 2024. The diagnosis of AL amyloidosis was confirmed by renal biopsy, with hematological and organ assessments per consensus criteria [5,6,7,8]. Patients were divided into three groups based on the year of ASCT: Group A (2010-2015), Group B (2016-2020), and Group C (2021-2024). All patients were followed for more than one year or reached a study endpoint earlier. The study complied with the Declaration of Helsinki and was approved by the Institutional Review Board of Jinling Hospital. Informed consent was obtained from all participants. Overall survival (OS) was defined as the interval from day 0 of transplant to death from any cause. Major organ deterioration progression-free survival (MOD-PFS) was defined as the interval from day 0 of transplant to the first occurrence of any of the following: organ or hematological progression, end-stage cardiac or renal disease, initiation of a second-line therapy, or death. Treatment-related mortality (TRM) was referred to death from any cause within 100 days post-transplant. Data cutoff was July 31, 2025. Continuous variables were compared using the Kruskal-Wallis H test; categorical variables with Chi-square or Fisher’s exact test. Potential overlap among variables was assessed by calculating Spearman correlation coefficients and variance inflation factors (VIF). OS and MOD-PFS were analyzed using the Kaplan-Meier method, and Cox regression analysis was applied to identify independent risk factors.
A total of 390 patients underwent ASCT during the study period. The median age of the entire cohort was 52 years, and 50.5% were male. More than half (54.9%) received ASCT within six months after diagnosis. Because our amyloidosis referral center is affiliated with the kidney disease center, renal involvement was universal (100%), while cardiac involvement was present in 38.2%. Most patients were classified as stage I or II by the Mayo 2004 and 2012 stage systems (79.5% and 85.4%, respectively). Compared with Groups A and B, patients in Group C were older and more frequently received ASCT more than 12 months after diagnosis. Patients in Group C had significantly fewer involved organs (74.8% with single-organ involvement vs. 49.6% in Group A and 57.2% in Group B; P = 0.001) and less frequent cardiac involvement with lower NT-proBNP levels. However, the bone marrow plasma cell (BMPC) burden at diagnosis was the highest in Group C. The proportion of Mayo 2004 stage I increased across the groups over time, whereas stage III decreased. No significant differences were found in sex, light chain restriction, dFLC, or renal stage. The baseline characteristics are summarized in Table 1.
Among the 324 (83.1%) patients who received induction (median 2 cycles, IQR 1–3) prior to ASCT, utilization rose over time (from 61.3% in Group A to 98.3% in Group C). Bortezomib-based regimens predominated in Group B (83.3%) but markedly decreased in Group C (53.0%) with daratumumab-based regimens emerging, while immunomodulatory drugs (IMiDs) use dropped from 17.5% to 1.7%. The hematological overall response rate (ORR) after induction therapy was 69.7% (198/284). The rates of complete response (CR), very good partial response (VGPR), and partial response (PR) were 25.7%, 32.7%, and 11.3%, respectively. Group C showed superior ORR, CR, and VGPR rates versus earlier groups. All patients were successfully mobilized, with a median infused CD34⁺ cell dose of 8.0 × 10⁶ cells/kg (IQR 5.4–11.2 × 10⁶ cells/kg). Most patients (73.8%) received melphalan at a dose of 200 mg/m². The median time to granulocyte and platelet engraftment for the entire cohort was 9 days and 11 days, respectively. Group A had the lowest proportion of full melphalan dose (54.0%) and the longest engraftment times (10 days for granulocyte and 12 days for platelet). Induction regimens and ASCT-related data are detailed in Supplementary Table 1.
Among the 318 patients evaluable for hematological response after transplantation, hematological ORR was 85.5% (CR 40.6%, VGPR 34.6%, PR 10.4%). Both the hematological ORR and the rate of ≥ VGPR increased significantly over time (P < 0.001 and P = 0.011, respectively). Renal response was achieved in 73.1% of 390 patients (CR 17.7%, VGPR 42.8%, PR 12.6%), with the rates in Group B (75.4%) and Group C (81.7%) both higher than those in Group A (63.5%) (P = 0.033 and P = 0.001, respectively). Cardiac response occurred in 60.4% of 149 patients (CR 38.9%, VGPR 19.5%, PR 2.0%), with CR rates improving from 22.2% in Group A to 55.2% in Group B (P = 0.001). Hematological and organ responses data are displayed in Supplementary Figure 1. The median time to renal and cardiac response was 10 months for both.
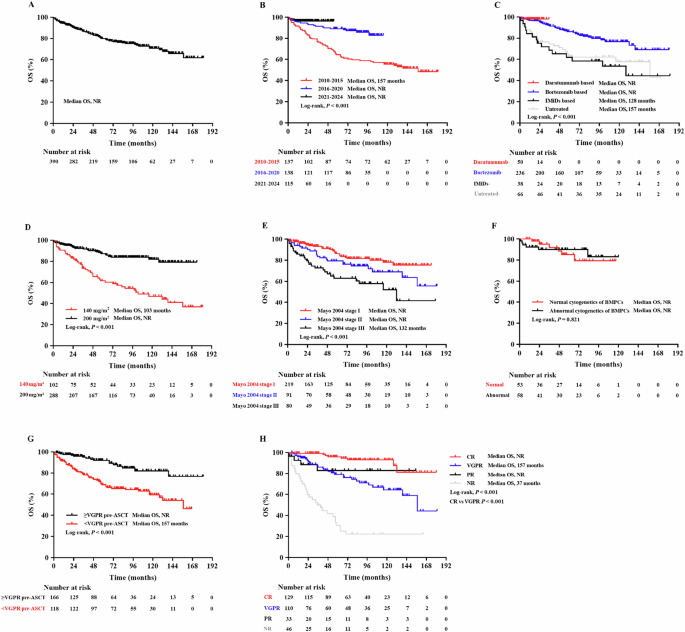
The median follow-up time for the whole cohort was 57 months (IQR 25–101). The estimated OS rates at 1-, 3-, 5-, and 10-year were 94% (95% CI 92–96%), 87% (95% CI 83–90%), 80% (95% CI 75–84%), and 71% (95% CI 64–76%), respectively. The median OS was not reached (Fig. 1). The 3-year OS rates for Groups A, B, and C were 76%, 91%, and 96%, respectively. The median MOD-PFS was 51 months, with estimated 1-, 3-, 5- and 10-year MOD-PFS rates of 85% (95% CI 81–88%), 64% (95% CI 58–69%), 46% (95% CI 40–51%) and 24% (95% CI 18–30%), respectively (Supplementary Figure 2). The subgroups associated with daratumumab- or bortezomib-based induction, Mayo 2004 stage I/II, melphalan dose of 200 mg/m², hematological response ≥ VGPR before ASCT, or hematological CR after ASCT exhibited better OS and MOD-PFS. Neither OS nor MOD-PFS differed significantly between those with or without genetic abnormalities (data available for 58 patients).
A The 1-, 3-, 5- and 10-year OS rates were 94%, 87%, 80%, and 71%, respectively. B The comparison of OS among different years of transplantation. C The comparison of OS among different induction therapy regimens. D The comparison of OS between different melphalan doses. E The comparison of OS among patients with different Mayo 2004 Stage. F The comparison of OS between patients with normal and abnormal cytogenetics of BMPCs. G The comparison of OS between different hematological responses pre-ASCT. H The comparison of OS among different hematological responses after ASCT.
Non-hematological toxicities during ASCT are summarized in Supplementary Table 2. Common events included diarrhea (57.7%, 225/390), nausea/vomiting (49.7%, 194/390), fever (39.7%, 155/390), and mucositis (31.8%, 124/390). Diarrhea incidence was higher in Group B (72.5%, 100/138), while fever was more frequent in Group C (60.9%, 70/115). Cardiac, renal and hepatic adverse events decreased compared with the earlier period (2010–2015). The TRM was 2.6% (10/390) for the entire cohort, with cardiac events being the most common cause.
During the long-term follow-up period, infection was the most common adverse event (9.5%, 37/390), primarily respiratory infections (5.6%, 22/390) and herpes zoster virus infections (2.6%, 10/390). Other adverse events included metabolic disorders (2.8%, 11/390), gastrointestinal events (1.8%, 7/390), cardiovascular events (1.3%, 5/390), and anemia (1.3%, 5/390).
At the end of follow-up, 83 patients (21.3%, 83/390) had died. Within the first year after ASCT, 23 patients (27.7%, 23/83) died due to TRM (n = 10), disease factors (n = 7), or unknown causes (n = 6). Among the 60 patients (72.3%, 60/83) who died beyond the first year post-ASCT, most patients had failed to achieve a deep hematological response. Causes of the late deaths included disease progression (n = 20), heart failure (n = 13), dialysis-related complications (n = 12), and others (n = 15).
All VIF values were < 2, indicating no multicollinearity. Risk and protective factors for OS and MOD-PFS were assessed (Supplementary Table 3). On multivariate model for OS, receipt of induction therapy (HR = 0.506, 95% CI 0.307–0.835, P = 0.008), melphalan dose of 200 mg/m² (vs. 140 mg/m²; HR = 0.394, 95% CI 0.243–0.641, P < 0.001), and best hematological response post-ASCT ≥ VGPR (HR = 0.409, 95% CI 0.260–0.641, P < 0.001) were associated with better OS. Adverse risk factors were Mayo 2004 stage III (vs. I/II; HR = 2.094, 95% CI 1.278–3.430, P = 0.003) and renal stage III (vs. I/II; HR = 4.290, 95% CI 1.769–10.406, P = 0.001). For MOD-PFS, multivariate analysis showed lambda light chain restriction (HR = 1.932, 95% CI 1.228–3.040, P = 0.004), Mayo 2004 stage III (vs. I/II; HR = 1.826, 95% CI 1.333–2.500, P < 0.001), and renal stage III (vs. I/II; HR = 4.489, 95% CI 2.054–9.810, P < 0.001) were independent adverse predictors, whereas melphalan dose of 200 mg/m² (vs. 140 mg/m²; HR = 0.686, 95% CI 0.511–0.922, P = 0.012) and best hematological response post-ASCT ≥ VGPR (HR = 0.543, 95% CI 0.412–0.715, P < 0.001) were independent protective predictors of MOD-PFS.
This study represents the largest cohort with the longest follow-up duration reported from China on ASCT for the treatment of AL amyloidosis. The TRM in our cohort was 2.6% over 15 years, consistent with the latest data reported by Gustine et al. [9]. Our long-term data are comparable to those from other centers [2, 10, 11], with the 1‑, 3- and 5-year OS rates being 95%, 87% and 81%, respectively. However, MOD-PFS data indicate that relapse after transplantation remains a significant concern, with 56% of relapses occurring within the first three years. Based on recent advances, anti-CD38 antibodies represent potentially viable options for the relapsed [12, 13]. The improved outcomes observed in more recent periods are likely attributable to a combination of factors, including a higher proportion of early-stage patients, optimized induction therapies, and deeper hematological responses after ASCT, rather than the transplant era itself. Patients who received daratumumab- or bortezomib-based induction therapy had better outcomes, which has been established in our previous studies [14, 15]. Limitations of this study include potential inaccuracies in telephone follow-up data, lack of cytogenetic data for most patients, and shorter follow-up for the recent cohort. In summary, ASCT is a safe and highly effective therapy for AL amyloidosis under stringent patient selection, with its efficacy further enhanced when combined with contemporary chemotherapy regimens. Future research should focus on optimizing the sequencing and combination of these treatments to maximize patient survival and quality of life.
Data availability
The data are available from the corresponding author on reasonable requests.
References
Sanchorawala V. Systemic Light Chain Amyloidosis. N Engl J Med. 2024;390:2295–307.
Sanchorawala V, Sun F, Quillen K, Sloan JM, Berk JL, Seldin DC. Long-term outcome of patients with AL amyloidosis treated with high-dose melphalan and stem cell transplantation: 20-year experience. Blood. 2015;126:2345–7.
Sidiqi MH, Aljama MA, Buadi FK, Warsame RM, Lacy MQ, Dispenzieri A, et al. Stem Cell Transplantation for Light Chain Amyloidosis: Decreased Early Mortality Over Time. J Clin Oncol. 2018;36:1323–9.
Manwani R, Hegenbart U, Mahmood S, Sachchithanantham S, Kyriakou C, Yong K, et al. Deferred autologous stem cell transplantation in systemic AL amyloidosis. Blood Cancer Journal. 2018;8:101.
Palladini G, Dispenzieri A, Gertz MA, Kumar S, Wechalekar A, Hawkins PN, et al. New criteria for response to treatment in immunoglobulin light chain amyloidosis based on free light chain measurement and cardiac biomarkers: impact on survival outcomes. J Clin Oncol. 2012;30:4541–9.
Dittrich T, Bochtler T, Kimmich C, Becker N, Jauch A, Goldschmidt H, et al. AL amyloidosis patients with low amyloidogenic free light chain levels at first diagnosis have an excellent prognosis. Blood. 2017;130:632–42.
Muchtar E, Dispenzieri A, Leung N, Lacy MQ, Buadi FK, Dingli D, et al. Depth of organ response in AL amyloidosis is associated with improved survival: grading the organ response criteria. Leukemia. 2018;32:2240–9.
Muchtar E, Dispenzieri A, Wisniowski B, Palladini G, Milani P, Merlini G, et al. Graded Cardiac Response Criteria for Patients With Systemic Light Chain Amyloidosis. J Clin Oncol. 2023;41:1393–403.
Gustine JN, Staron A, Szalat RE, Mendelson LM, Joshi T, Ruberg FL, et al. Predictors of hematologic response and survival with stem cell transplantation in AL amyloidosis: A 25-year longitudinal study. Am J Hematol. 2022;97:1189–99.
D’Souza A, Dispenzieri A, Wirk B, Zhang M, Huang J, Gertz MA, et al. Improved Outcomes After Autologous Hematopoietic Cell Transplantation for Light Chain Amyloidosis: A Center for International Blood and Marrow Transplant Research Study. J Clin Oncol. 2015;33:3741–9.
Sidana S, Sidiqi MH, Dispenzieri A, Buadi FK, Lacy MQ, Muchtar E, et al. Fifteen year overall survival rates after autologous stem cell transplantation for AL amyloidosis. Am J Hematol. 2019;94:1020–6.
Shragai T, Gatt M, Lavie N, Vaxman I, Tadmor T, Rouvio O, et al. Daratumumab for relapsed AL amyloidosis-When cumulative real-world data precedes clinical trials: A multisite study and systematic literature review. Eur J Haematol. 2021;106:184–95.
Parker TL, Rosenthal A, Sanchorawala V, Landau HJ, Campagnaro EL, Kapoor P, et al. Isatuximab for Relapsed and/or Refractory AL Amyloidosis: results of a prospective phase 2 trial (SWOG S1702). Blood. 2025;146:2507–16.
Huang X, Ren G, Chen W, Guo J, Zhao L, Zeng C, et al. The role of induction therapy before autologous stem cell transplantation in low disease burden AL amyloidosis patients. Amyloid. 2021;28:75–83.
Zhang Y, Guo J, Chen W, Zhao L, Huang X. Risk factors, treatments and outcomes of patients with light chain amyloidosis who relapse after autologous stem cell transplantation. Bone Marrow Transplant. 2023;59:350–8.
Funding
This research was supported by grants from the National Natural Science Foundation of China (82270767) and the Key Research and Development Plan Project of Jiangsu Province - Social Development Projects (BE2023797).
Author information
Authors and Affiliations
Contributions
MNL and XHH designed the proposal, collected and analyzed the data, and wrote the manuscript. JZG, WCC, XMW, and WWX contributed to data collection and critically revised the manuscript. All authors approved the final version of the manuscript for journal submission.
Corresponding author
Ethics declarations
Competing interests
The authors declare no competing interests.
Additional information
Publisher’s note Springer Nature remains neutral with regard to jurisdictional claims in published maps and institutional affiliations.
Rights and permissions
Open Access This article is licensed under a Creative Commons Attribution-NonCommercial-NoDerivatives 4.0 International License, which permits any non-commercial use, sharing, distribution and reproduction in any medium or format, as long as you give appropriate credit to the original author(s) and the source, provide a link to the Creative Commons licence, and indicate if you modified the licensed material. You do not have permission under this licence to share adapted material derived from this article or parts of it. The images or other third party material in this article are included in the article’s Creative Commons licence, unless indicated otherwise in a credit line to the material. If material is not included in the article’s Creative Commons licence and your intended use is not permitted by statutory regulation or exceeds the permitted use, you will need to obtain permission directly from the copyright holder. To view a copy of this licence, visit http://creativecommons.org/licenses/by-nc-nd/4.0/.
About this article
Cite this article
Liu, M., Guo, J., Chen, W. et al. Long-term outcomes of autologous stem cell transplantation for AL amyloidosis: a 15-year experience from a Chinese referral center and a comparison of different eras. Blood Cancer J. 16, 27 (2026). https://doi.org/10.1038/s41408-026-01464-4
Received:
Revised:
Accepted:
Published:
Version of record:
DOI: https://doi.org/10.1038/s41408-026-01464-4
